本站出租-更换公司信息电话即可使用
网站出租热线:15821473837

干法电极成膜压延机及工艺的设计原则

发布时间:2024-04-23 18:07:42 人气:

压延机

干电极工艺一般有两种:粉末喷涂和粘合剂纤维化。 其中,粘合剂纤维化干电极技术的主要过程是利用多级辊压机将粘合剂、活性材料和导电剂的混合粉末进行初步纤维化。 差速辊压过程中的剪切力使粘合剂进一步纤维化并制备成自支撑膜,然后与集流体复合。 本文主要从原理角度探讨干电极成膜压延机及工艺的设计原理。

一般来说,电极、板材轧制或粉末轧制机的轧制过程示意图如图1所示。两个同向旋转的轧辊对来料进行加工。 加工区可分为三个区域: 进料区。 (图中绿色)、压实区(图中红色)和排出区(图中黄色)。 来料加工后,电极或粉末被压实,密度不断增加,厚度不断减小。 如图1所示,我们可以通过角度α来确定和区分喂料区和压实区。

压延机

图1 粉末滚压成型工艺示意图

两个辊之间的每个区域具有不同的力和粉末运动特性,包括:

喂料区:滚筒对物料的径向力可分解为对物料的压力和对物料的横向剪切力。 在进料区域,压力分量相对较小,剪切力分量相对较大。 粉末通过颗粒与滚筒表面以及颗粒之间的摩擦进入压实区。 材料主要以滑动形式发生位移,因此该区域也称为滑移区。 两个辊子之间在给定角度下的速度差产生了一个剪切平面,其中粉末颗粒近似平行于辊子表面。

压实区:在进料区和压实区的交界处,粉末剪切力为零。 随着滚动间隙和角度的减小,材料的法向压力迅速增大。 该区域的物料主要受压力压实,因此该区域称为压实区(压区)。

压实区角度α的确定方法

如图1所示,区分进料区和压实区的角度α取决于影响摩擦和剪切的设备、工艺和材料参数。 当物料刚以松散状态进入给料区时,粉粒与滚筒表面在剪切力的作用下发生滑动。 当粉末进入过渡点(对应于角度α)时,粉末停止沿辊子表面滑动并开始以与辊子相同的速度行进。 从数学上描述系统的压力分布,对于仅发生滑移和不发生滑移的情况,都有相应的压力梯度表达式。 相应地,当仅发生滑移时,压力梯度的数学公式为:

压延机

当不发生打滑且滚筒粘附移动时,压力梯度的数学公式为:

压延机

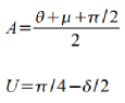
式中,σ为压力,δ为内摩擦角,D为辊筒直径,K为粉体材料的压缩系数,φ为壁面摩擦角(摩擦系数μ=tan φ),S为辊筒间隙。 在,

压延机

压延机

这两个压力分布的梯度在一点处相等,即压实区角α。 如图2所示,实线代表粉末连续滑移时的压力梯度,虚线代表粉末以与棒相同速度行进时的压力梯度。 两条曲线的交点给出角度 α,它是压实的 NIP 区域的角度。 初始点。

压延机

图2 压实区角度α的确定原则

与传统电极滚压或粉末压制的区别:

根据以上分析可知,在设计辊压机及工艺时,需要考虑的参数包括设备参数、工艺参数和材料参数。

n设备参数:辊子表面形貌、辊子材料特性、辊子直径、辊子宽度等;

n工艺参数:工作压力、扭矩、轧制速度、辊速差和辊缝间距等;

n材料参数:粉体粒度及分布、颗粒形貌、材料成分、混合状态及表面化学性质、有效摩擦角、内聚力、压缩率、堆积密度和屈服应力等。

辊子表面形态和特性的设计是为了优化辊子表面和粉末之间的摩擦。 随着相邻颗粒之间的速度差增大,可以促进粉末中的剪切面。 流动性好的粉体更容易滑动,有利于粘合剂实现剪切,有利于干法制造工艺,如比表面积低的球形颗粒。 以上是根据数据和分析,个人对干电极成膜压延机及工艺设计原理的理解。 如有错误,欢迎批评指正。

参考

[1]A.,W. Bauer,H.,干燥:对于 和 的作用,Acs Appl。 能量。 马特。 6(2023)5122-5134。

[2],适用于辊压机,2003 年。

[3][1] KA Yehia,基于压区的辊压机,。 177(2007)148-153。

最后向大家推荐一个新公众号:李想生活工具,我会在里面分享一些在生活、学习、工作过程中收集的小工具、小软件和网站。

压延机厂家

返回列表 推荐新闻

在线留言